Оптоэлектронная интеграция Hybird | Электронная почта: sales1@cqwiseworld.com
Вы здесь: Дом » Новости » Оптические линии передачи миллиметрового диапазона волн и ключевые оптические модули

Оптические линии передачи миллиметрового диапазона волн и ключевые оптические модули

Просмотры:0     Автор:Pедактор сайта     Время публикации: 2026-03-30      Происхождение:Работает

Запрос цены

facebook sharing button
twitter sharing button
line sharing button
wechat sharing button
linkedin sharing button
pinterest sharing button
whatsapp sharing button
kakao sharing button
snapchat sharing button
telegram sharing button
sharethis sharing button

С постоянным развитием технологий оптической связи оптическим линиям передачи миллиметровых волн уделяется все больше внимания. Из-за высокой частоты миллиметрового диапазона традиционные методы передачи по кабелю имеют множество недостатков, таких как большой размер, высокие потери, большой вес и плохая защита от помех. Эти узкие места в значительной степени ограничивают высокочастотные приложения на больших расстояниях. Оптоволоконная передача сигналов миллиметрового диапазона позволяет преодолеть многие недостатки кабельной передачи и стала оптимальным выбором для высокочастотной передачи на большие расстояния.

Типичная блок-схема оптической линии связи миллиметрового диапазона показана на рисунке 1.

Типичная блок-схема оптической линии связи миллиметрового диапазона

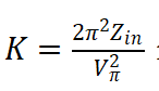
Для внешней модулированной оптической линии усиление сигнала системы можно выразить как

усиление сигнала внешней модулированной оптической линии связи

i B представляет фототок постоянного тока, принимаемый фотодетектором. , Z out представляет собой выходную нагрузку, DFB-лазер представляет собой реакцию электрооптической модуляции электрооптического модулятора, а Z i n представляет собой входное сопротивление электрооптического модулятора.

Линия состоит из малошумящего мощного лазерного модуля, тонкопленочного модулятора из ниобата лития, оптического волокна и модуля оптического приема миллиметровых волн. Лазерный модуль имеет выходную мощность более 60 мВт и относительную интенсивность шума ниже -160 дБн/Гц; модуль электрооптического модулятора имеет полосу пропускания более 50 ГГц и напряжение полуволны не хуже 3 В; фотоприемный модуль имеет полосу пропускания более 50 ГГц.

На рисунке 2 показано семейство продуктов, разработанное нашей командой, которое можно гибко применять к оптическим линиям передачи миллиметрового диапазона, волоконным линиям задержки миллиметрового диапазона и радиовысотомерам миллиметрового диапазона.

DFB-лазер

DFB-лазер

модулятор ТФЛН

модулятор ТФЛН

фотодетектор

фотодетектор

Если у вас есть какие-либо технические вопросы относительно дизайна ссылок или приложений для устройств, свяжитесь с нами.


Решения для фотоэлектрической передачи, керамические корпусные оптопары и оптические твердотельные МОП-реле.
 

Быстрые ссылки

Категории продуктов

Связаться с нами

Добавить: № 7, Чахуа-роуд, район Наньань, Чунцин 401336, Китай.
ВКонтакте/WeChat/WhatsApp:
+86-13308395418
Электронная почта: sales1@cqwiseworld.com
Авторские права © 2025 Wiseworld Technology Co., Ltd. Все права защищены. Политика конфиденциальности | Sitemap